Breadcrumbs

Piping

Drawing pipes

In Hysopt there are three different pipe types for heating as well as for cooling.

image-20220310-073733.png

Pipe parameters

The following figure shows the parameter list on a pipe segment in Hysopt. Every pipe type has the same list of parameters.

The selection of the diameter of the pipes is explained in Select pipes . Pipe length and pipe type are self-evident.

image-20220310-073814.png

Thermal losses

The thermal losses can also be added to the pipes. If you click on the pencil on the right in the main parameter list, the pop-up shown below will appear. The classes that can be selected are based on the German standard DIN EN 12828. 

image-20220310-074022.png

The isolation value changes depending on the pipe diameter, this is shown in the table below for class 1 to class 6. The thermal losses will be calculated during a dynamic simulation in the function of the pipe length, pipe diameter, isolation class, and environment temperature.

It is also possible to add custom isolation. To do so, the user will need to fill in the isolation value per diameter per pipe segment in Hysopt.

But this is a very time-consuming job, therefore we advise using the isolation classes.

The numbers below represent the overall Heat coefficient per meter pipe length in W/(m*K). To get the total heat transfer coefficient of the whole pipe segment in (W/K), simply multiply by the pipe length.


Class 1

Class 2

Class 3

Class 4

Class 5

Class 6

Custom


DN15

0,279

0,247

0,216

0,187

0,1598

0,1344

0,063

W/mK

DN20

0,293

0,257

0,224

0,193

0,1642

0,1346

0,069

W/mK

DN25

0,312

0,277

0,236

0,202

0,1708

0,1424

0,077

W/mK

DN32

0,332

0,288

0,248

0,211

0,1774

0,1472

0,085

W/mK

DN40

0,352

0,304

0,26

0,22

0,184

0,152

0,092

W/mK

DN50

0,392

0,335

0,284

0,238

0,1972

0,1616

0,107

W/mK

DN65

0,451

0,382

0,32

0,265

0,217

0,176

0,127

W/mK

Example parameters for the custom isolation in the table above

Lambda isolation = 0,021 W/mK

Isolation thickness = 0,06 m

Zeta- value 

In addition to the linear pressure drops in the straight pipe pieces, additional pressure drops occur in the tubing network as a result of the resistance to the flow of water during changes in flow direction and/or water velocity. This occurs mainly at:

  • bends, diameter transitions, and taps in the distribution grid

  • fittings such as collectors and closing, mixing, or controlling cranes

  • devices like heaters, boilers, filters, batteries, heat exchangers, etc.

The size of these local pressure losses can only be determined experimentally and is budgeted by a dimensionless local pressure-loss coefficient ζ.

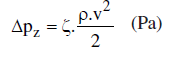
If the ζ value is known, the pressure loss due to the local resistance can be calculated using the following formula:

                                                                          image2017-4-20_11-24-43.png
Wherein:

  • DeltaPz: local pressure loss (in Pa)

  • ζ: the local pressure loss coefficient

  • rho: the volume of water (in kg / m³)

  • v: speed of the water (in m / s).

The user only needs to fill in the ζ-values for the supply tube, Hysopt then calculates the additional pressure drop for the supply and return pipe.

Length surplus percentage

Instead of filling in all the ζ-values per pipe segment in Hysopt, the user can also choose to add a percentage extra pressure drop per pipe segment.

Depending on the tubing configuration of the installation, this percentage may vary from 10% to 40%, only when using steel pipes. With a normal configuration, a percentage of 20% can be held. In the case of an installation with many turns per meter, 30-40% can be held. When using a plastic tube, the percentage ranges from 50% to 70%, again depending on the tubing configuration.

Selecting pipes in Hysopt

After the action "Compute design flows" you go to the next step "Select pipes".

See  Select pipes  for more information.