Breadcrumbs

Control valve authority

When selecting a control valve for an HVAC system the valve authority needs to be taken into consideration.

When selecting an undersized control valve in an installation, it increases the pressure drop of the entire installation meaning the pumps would use a larger amount of energy, while an undersized control valve the accuracy of the control is optimal as the entire lift of the valve may be utilized to achieve the desired control.

In the case of an oversized control valve, the amount of energy use will be reduced because of a lower pressure drop, such savings will come at a cost at a decrease of control accuracy, in other words, the control valve will throttle in an almost closed position.

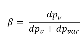
A trade-off exists between the above 2 situations, where sizing requires an equilibrium between control accuracy and reduced pomp energy. Valve authority embeds the two considerations within a system, it is defined as follows:

image2016-12-2 15:9:25.png
  • B = Control valve authority

  • dPv = Pressure drop across a fully open control valve

  • dPvar = Pressure drop across the remainder of the circuit.

The valve authority indicates how much of the total pressure drop comes from the control valve, in practice a valve authority between 0.2 and 0.5 is considered. If the authority is higher than 0.5, then the control valve is undersized and increases the pump energy. When the value is lower than 0.2 then the valve position has a lower impact on the system and impacts the accuracy of the control valve. The Hysopt optimization algorithm selects the control valves at a minimum authority and minimizes the pump energy consumption. 

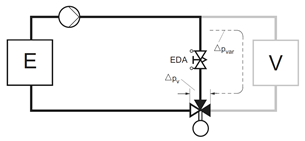
In the schemes below the variable pressure drop for the valve, authority calculation is shown for different base circuits.

image2016-12-2 15:30:43.png

Active mixing circuit

image2016-12-2 15:31:0.png

Passive mixing circuit

image2016-12-2 15:31:9.png

Tcircuite cicuit

image2016-12-2 15:31:25.png

Mixing circuit with primary bypass

image2016-12-2 15:31:40.png

Mixing injection with primary dividing

image2016-12-2 15:31:46.png

Passive dividing